无尽寒冬新手保姆级攻略
无尽寒冬是一款暗黑题材放置RPG手游,文字Mud经典体验,带你进入神秘的暗黑世界。数以万计的前后缀词条、多样的技能刻印、自由搭配的巅峰加点,让你随心所欲构筑自己的最强战斗Build!下面是本站小编给大家带来的无尽寒冬新手保姆级攻略,感兴趣的小伙伴们一起来看看吧。
06zyx.com
无尽寒冬新手保姆级攻略
一、游戏核心前期尽快提高攻击,后期囤货收菜;
零六游戏公众号
二、开局建议:最大建议是至少玩5天在换区。
lingliuyx.com
开区三天有新手BUFF(前三天分别为4,5,6倍),新手BUFF三天不是按照72小时结算的,第三天24点一过新手BUFF会消失;
内容来自lingliuyx.com
前三天尽量提升战力,输出属性最为重要,关系到每秒经验; 游戏来自lingliuyx.com
佛系开局:新区现在每2天开一个,早上10点准时 零六攻略小程序
极限开局:开区之后等到晚上12点再建号进入游戏,比10点开区玩多10小时新手BUFF高倍经验小同氪度至少等于多玩1天。 lingliuyx.com
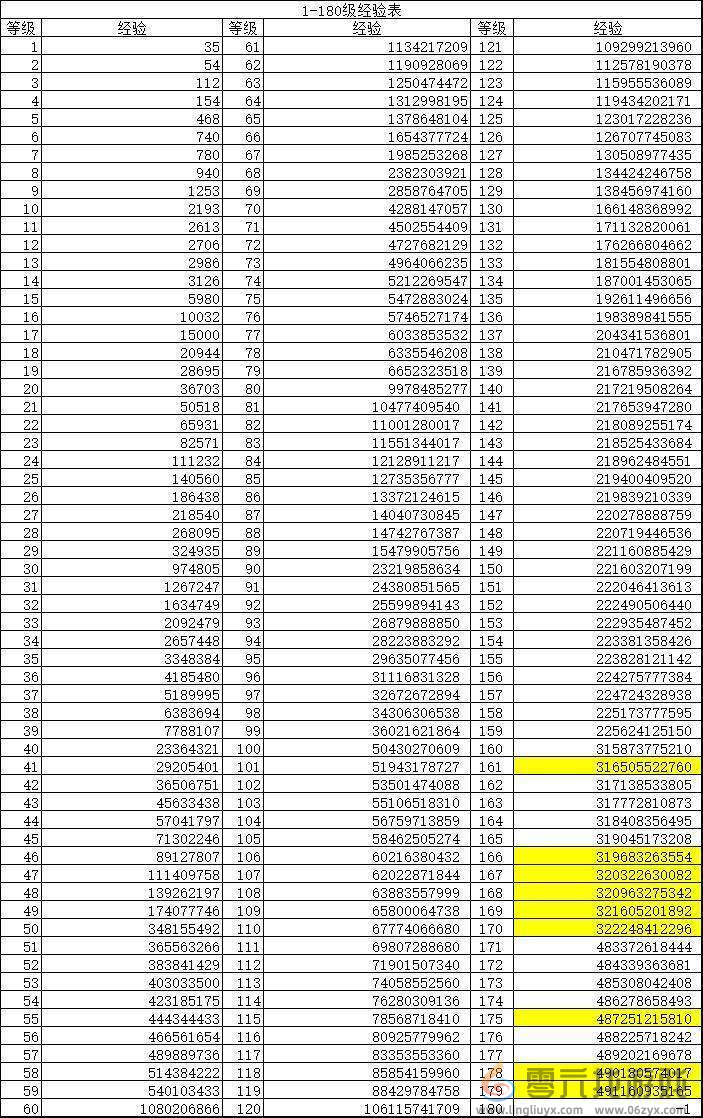
三、关于等级:包含3个等级 06gmyx.com
每个等级都有对应的装备,装备在对应的难度掉落;
普通等级,这是基础等级
巅峰等级,普通55级开启
巅峰等级消耗人物经验升级,巅峰装备通过镶嵌符文获得特殊属性只有是技能(之后会有详细介绍);
深渊等级,普通65级开启
深渊等级在前期不要使用普通经验,钻石商店购买100钻的道具升级,需要注意的是橙色深渊只有当前转数的boss才会掉落,前期不要太早的转职,建议0转装备基本满,打安达利亚小于30秒才考虑转职;
四、关于钻石:
0氪或者微氪前面不要用钻石,攒够5000钻石,兑换码、成就奖励、填邀请码500钻等等,40级前基本都能5000钻,去钻石商店购买 护身符秘钥,分解可以得到20000钻石,基本可以保证前期不缺钻石,氪佬不用考虑这个方案。
五、商店购买:
金币商店:书页、符文(金币充足再买)、血岩碎片(金币充足再买)

钻石商店:3个祭天石160钻

尖塔商店,只买这个和突破缺的石头,困者、本职业石头、剧毒

兑换商店:
前期缺重铸石可以用丛林之魂换一点,后面换神器升级
神器1 点个2级技能,任务需要
神器2 点个1级技能
神器3 拉满,优先第一
神器4 点个1级技能就行
六、前三天流程
注册账号,登录进游戏,蛮子、法师、弓手。练级速度法师>弓手>蛮子,
法师最快但玩的人多,世界boss排名比较难,PVP大部分都针对法师,氪佬忽略;
20之后会弹出首冲,有条件充个6R支持一下,如果想氪金,后面有讲氪金性价比;
首冲的武器可以用到50级,第二天还会送一套能用很久的无星套装,第二天充12R送皎月套装,第二天充12R送骄阳套装,骄阳这一套可以一直用到180级普通等级;
送的五星英灵直接分解,可以抽288次英灵,凑出天使羁绊,加致命打击的,提升巨大,英灵的技能没有用的 不用看
七、第一天:
进入游戏,20级之前,都按照任务要求做任务,填写兑换码
然后一路做任务做到45级,购买爵位的翅膀材料,去合一个翅膀,挂机前,洗出项链和戒指的本职业穿透词条,每个地图挂2分钟左右能看到平均经验,选一个经验高的地图挂机睡觉,不勾选任何boss,需要注意,每10级只打一次并且一定要打一次奶牛,首次打出SSS会送火炬,把火炬放仓库、前三天用钻石买的火炬和托管加速全部买满,
达到50级,然后全面换装,武器放弃首冲武器,去角色-商人-精华商人,购买50级的装备,武器 项链 戒指等等 把词条洗好
武器:伤害增强+本职业穿透
项链:本职业穿透
戒指:本职业穿透
头盔,衣服,手套,腰带,鞋子:都洗出防御增强百分比,5条橙以上词条会发光,装备分解会返回石头,不用怕浪费;
在以上基础上戒指项链武器尽量有攻速词条,达到1.25以上;然后拉完所有的奶牛,然后除了留1次加速外,拉等级到55级,把多余的经验拉巅峰等级拉到20级,然后切到巅峰地图,能打的最高经验的巅峰地图挂机,搞点巅峰20的装备,项链洗本职业的橙色符文之语,手套洗本职业的6技能(除亚马逊洗1技能),戒指洗本职业的5技能;第一天一定要把托管加速次数用完,爵位提升到不能提升为止,主要会有世界boss任务卡爵位,
八、第二天:
一直冲做任务冲普通地图的boss 刷到火焰领主,然后挂机普通火焰领主就可以去睡觉了,第二天睡觉之前,再用完加速次数,如果当天不能70级 就尽早在60级的时候使用完当天的奶牛次数和买的奶牛次数,如果当天有希望能70 那就留一次奶牛次数,等70级再用;不氪一般到不了;
九、第三天:
等普通等级65级之后,去爵位那边 购买领主的钻石礼包,可以获得20个原石,花18个原石可以把深渊等级升到50级 加点记得点上攻速100的那个,此时可以考虑攻速到达1.67以上;等普通等级66之后 可以解锁深渊拍卖行买一身橙色深渊装备,武器、头盔、手套 优先第一词条为元素穿透;在到了70级之后,拉巅峰等级到60级,挂机巅峰的西希之王地图,争取第三天睡觉之前,经验效率能到35w以上
第三天11点55上线一下,重新托管,等到第四天12点再上线,这段时间的 托管经验还是有新手buff的经验
关于几个常用挂机地图的推荐:噩梦圣女、噩梦西希之王、火焰领主、巴尔,
前三天,能用的活动材料全用了,什么都不用留,前三天经验最重要,过了前三天,再留材料屯够了再做活动

十、攻速阈值:
第一阶段:1.000次/s 攻击间隔:1s
第二阶段:1.250次/s 攻击间隔:0.8s
第三阶段:1.667次/s 攻击间隔:0.6s
第四阶段:2.500次/s 攻击间隔:0.4s
攻速满足阈值之后,PVE就可以不堆攻速了,收益很低
十一、氪金优先级:
T0:
188元永久卡,只要预算够,必须第一个氪
18元免广告卡,玩的更舒心
T1:
98钻石基金和98银光赠礼,一共1+6,海量钻石
30元月卡 68季卡
T2:
68的巅峰头盔和128的深渊0转项链
以上就是无尽寒冬新手保姆级攻略的全部内容,更多无尽寒冬相关攻略,敬请关注本站。
相关游戏资讯
猜你喜欢内容
热门推荐
手游开服表
游戏攻略
加入收藏
